
开发与验证
- 刘博谈临床|临床统计方法之十——Kappa一致性检验
-
刘博这是刘博谈临床第二十五篇,本篇主要对Kappa一致性检验如何实行进行阐述。Kappa一致性检验根据定性分析四格表结果,具体方法如下:其中,Pa为“实际一致率”,Pe为“理论一致率”;n为a+b+c+d。Kappa值的假设检 ...
-
2021-7-21 00:00
- 诊断技术|免疫测试的那些事-免疫测试的类型和选择
-
这是一个技术专栏,在这个专栏当中,由全球诊断技术大咖为大家带来诊断技术开发方面的技术谈谈,这是本系列的第六篇,我们非常有幸邀请到了Dublin City University的Caroline Murphy博士为带来关于免疫测试的讲解。1 ...
-
2021-7-20 16:48
- 文献分享|体内小分子荧光探针诊断的现状、缺陷和未来
-
允许实时监测器官功能和在细胞水平上可视化器官相关过程的化学工具在生物学研究中具有重要意义。特定生物标志物的上调/下调往往与器官相关疾病的发展有关。小分子荧光探针有可能在能帮助研究人员和医生在对这些疾病 ...
-
2021-7-20 00:00
- FDA新手课堂|应该如何从FDA设备和放射健康中心获得资源?
-
这是FDA新手课堂第十三篇,太平老师将在这里介绍如何从设备和放射健康中心(CDHR)中获得你所需要的信息。在介绍CDRH的组织架构时,我们已经涵盖了很多内容,也提到了很多不同办公室和它们职能,那么,你现在最想知 ...
-
2021-7-15 16:14
- 刘博谈临床|临床统计方法之九——符合率分析
-
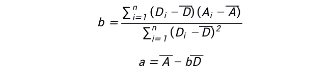
刘博这是刘博谈临床第二十四篇,本篇主要对符合率分析如何实行进行阐述。1、与临床参考标准对比以临床参考标准判断结果为标准,计算考核试剂的假阳性(b)、假阴性(c)、真阳性(a)和真阴性(d)的例数,填写到下 ...
-
2021-7-14 13:52
- ISO13485实践指南 | 条款4.1.3规定了对质量管理体系过程的要求
-
这是ISO 13485逐条分析第十七篇,条款4.1.3规定了对质量管理体系过程的要求,如何实施这些过程以及保留的符合性证据。条款原文4.1.3 对于每个质量管理体系过程,组织应:a) 确定所需的准则和方法,以确保这些过程的 ...
-
2021-7-14 13:48
- 诊断技术 | 免疫测试的那些事——抗体和免疫测试的介绍
-
这是一个技术专栏,在这个专栏当中,由全球诊断技术大咖为大家带来诊断技术开发方面的技术谈谈,这是本系列的第五篇,我们非常有幸邀请到了Dublin City University的Caroline Murphy博士为带来关于免疫测试的讲解。 ...
-
2021-7-13 16:13
- 科普 | 实时PCR检测如何检出新冠病毒?
-
COVID-19 是一种由严重急性呼吸系统综合症冠状病毒2型引起的传染病。当一个人被感染时,最常见的症状包括发烧、咳嗽和呼吸急促。用于进行测试样品可以通过鼻咽拭子或口咽拭子收集。鼻咽标本的收集是将拭子插入鼻孔, ...
-
2021-7-12 00:00
- 新闻 | 北京师范大学发现阿尔茨海默病AI生物标志物
-
北京师范大学,认知神经科学与学习国家重点实验室的张占军课题组开发了一个基于人工智能的脑龄预测模型,以量化轻度认知障碍患者的健康脑龄轨迹的偏差,他们希望该模型将有助于在个人层面上更早地发现认知障碍。这项 ...
-
2021-7-9 11:13
- FDA新手课堂 | FDA设备和放射健康中心的“超级办公室”之二
-
这是FDA新手课堂第十二篇,太平老师将在这里介绍设备和放射健康中心(CDHR)的“超级办公室”:产品评估和质量办公室。接下来,让我们简要了解一下OPEQ内部的每个办公室,首先是OPEQ-IO,这个办公室负责解释OPEQ的监 ...
-
2021-7-9 11:11
- 新闻 | 对于新冠Delta变异株,研究人员依旧知之甚少!
-
图 |7月5日晚,王予波在瑞丽市主持召开疫情处置工作现场会,国家指导组组长、国家疾病预防控制局副局长孙阳,云南省副省长宗国英、李玛琳,省政府秘书长杨杰出席会议自从被称为Delta(B.1.617)的SARS-CoV-2变体去年 ...
-
2021-7-9 11:01
- 刘博谈验证 | 进行诊断测试的原则之二
-
刘博谈验证这是刘博谈验证的第十一篇,进行诊断测试的第二个原则,只有当诊断性测试的结果可能改变对患者的治疗方式时,才应进行测试。第二个原则,只有当诊断性测试的结果可能改变对患者的治疗方式时,才应进行测试 ...
-
2021-7-9 00:00
- 刘博谈临床 | 临床统计方法之八——ROC分析
-
刘博这是刘博谈临床第二十三篇,本篇主要对ROC分析如何实行进行阐述。受试者工作特征曲线(receiver operator characteristic curve,ROC曲线),又称为接收者操作特性曲线,是以真阳性率(灵敏度)为纵坐标,假阳性 ...
-
2021-7-7 10:05
- 刘博谈验证 | 进行诊断测试的原则之一
-
刘博谈评估这是刘博谈评估的第十篇,进行诊断测试的第一个原则,就是要采用概率这种表述手段,来对诊断不确定性进行合理的表述。决定是否做诊断性测试,取决于以下两个原则。第一个原则,是需要采用概率对诊断不确定 ...
-
2021-7-6 14:26
- 诊断技术:磁珠,充满魔力的子弹——磁珠应用的实践和总结
-
这是一个技术专栏,在这个专栏当中,由全球诊断技术大咖为大家带来诊断技术开发方面的技术谈谈,这是本系列的第四篇,我们非常有幸邀请到了德国弗劳恩霍夫光子微系统研究所的Christine Ruffert主任为带来磁珠技术的 ...
-
2021-7-5 17:07
关闭 官方推荐
/3