立即注册找回密码

QQ登录

只需一步,快速开始

微信登录

微信扫一扫,快速登录

搜索

数据驱动模型丨帕金森病认知障碍诊断

2026-1-30 11:11| 发布者: 沙糖桔| 查看: 1483| 评论: 0|原作者: 小桔灯网|作者:动力彩虹

摘要: 这项研究开发并验证了一个基于机器学习的数据驱动模型,用于诊断帕金森病中的轻度认知障碍。




前言

帕金森病(PD)是全球第二常见的神经退行性疾病,影响60岁以上1%的人群,其全球患病率近年持续上升。除典型运动症状外,PD还伴随一系列非运动症状,比如轻度认知障碍(MCI),显著降低了患者生活质量。目前,临床上诊断PD-MCI主要依据“国际帕金森与运动障碍协会”制定的‌MDS PD-MCI Level II‌标准,该标准要求进行覆盖多个认知域的综合性神经心理学评估,被视为诊断的“金标准”。然而,将其纳入日常医疗程序存在一些缺陷。首先,全面的神经心理学测试耗时冗长,需要专家解读,并且基于预先设定的严格阈值。不同研究采用的阈值不同,导至PD-MCI的诊断率存在显著异质性,影响了结果的可比性和临床决策的确定性。因此,亟需开发更灵活、高效且能补充现有临床评估的诊断工具。



近日,卢森堡大学联合多家研究机构在杂志npj Parkinson’s Disease上发表了一篇题为“Data-driven clinical decision support tool for diagnosing mild cognitive impairment in Parkinson’s disease”的文章。作者将机器学习与临床数据相结合,开发并验证了一个基于机器学习的数据驱动模型,用于诊断帕金森病中的轻度认知障碍。该模型显示其性能与临床诊断参考测试相当,并可识别出被传统方法忽略的、具有特定认知损害模式(以额叶执行功能/注意力损害为主)和更高神经精神症状负担的患者亚组。这一发现表明,机器学习模型可以补充临床评估,有助于检测轻度认知障碍,并补充对帕金森病患者的诊断特征描述。


图片来源:npj Parkinson’s Disease




主要内容



1

研究队列概述

研究纳入了卢森堡帕金森病研究(LuxPark)队列中115名帕金森病患者和 226 名健康对照者。两组在人口统计学和临床特征方面存在差异。PD组年龄更大、男性比例更高,且在全局认知(MDS-UPDRS III)、运动功能、日常生活活动能力(ADL)、主观认知抱怨以及神经精神症状方面表现出更严重的损害。特定领域的认知表现出现了异质性模式,PD组在注意力、执行功能和记忆方面表现更差,而在语言和视觉空间能力方面则未观察到显著差异。


2

数据驱动模型的构建

为了将PD患者区分为‌认知正常‌和‌MCI‌两类,作者评估了‌高斯混合模型(GMM)‌、‌K-Means和‌谱聚类(SC)三种聚类算法‌。结果表明,SC算法‌在识别MCI方面表现最优。SC模型的‌受试者工作特征曲线下面积(AUC)‌为‌0.81‌,高于GMM模型的0.74和‌K-Means模型的0.77。SC‌敏感性‌达到‌0.97‌,远高于另外两种模型,表明它能更有效地识别出真正的MCI病例(如下表)。


模型的特征重要性分析显示,在区分认知状态时,‌特定领域的认知测试‌是主要的驱动因素。执行功能、记忆和注意力功能被认为是最相关的,而语言和空间视觉能力的贡献较低。此外,‌疾病相关因素‌、‌合并症‌以及‌疾病分期‌等非认知特征也发挥了重要作用。


数据驱动模型的性能比较。图片来源:npj Parkinson’s Disease


3

模型诊断效能与临床金标准的比较

为了验证数据驱动模型的诊断价值,作者将其与MDS PD-MCI Level II标准的诊断预测强度进行了直接比较。区分PD-NC和PD-MCI的评估指标为用于评估全局认知的‌MoCA总分‌、医生评定的认知障碍评分(‌MDS-UPDRS 1.1)‌,以及患者主观认知评分。


研究结果显示,两种诊断工具的预测效果相当(如下图)。数据驱动模型在‌MoCA总分‌和‌主观认知抱怨‌的效应量甚至略高于临床诊断参考测试,但没有统计学显著性。而在‌医生评定的认知障碍‌方面,临床测试的效应量略高。整体而言,数据驱动模型和临床测试的效应量差异不显著。‌数据驱动模型在诊断MCI方面的能力不劣于临床金标准‌,证明其具备可靠的诊断效能。


‌数据驱动模型在诊断MCI方面的能力不劣于临床金标准。图片来源:npj Parkinson’s Disease


4

识别被临床标准遗漏的MCI亚组

作者比较了数据驱动模型和临床测试两种方法对同一批PD患者的分类结果,并深入研究了判定不一致的两组。模型识别出了‌26名‌被数据驱动模型分类为MCI、但被临床金标准判定为认知正常的患者。分析结果显示,“‌数据驱动模型判定的早期MCI组‌”‌MoCA总分‌显著低于认知正常组,表明其全局认知功能更差(下图 A)。然而,在医生评定的MDS-UPDRS 1.1得分上,两组无显著差异,提示该评分敏感性不足(下图B)。


数据驱动模型识别被临床标准遗漏的MCI亚组。图片来源:npj Parkinson’s Disease


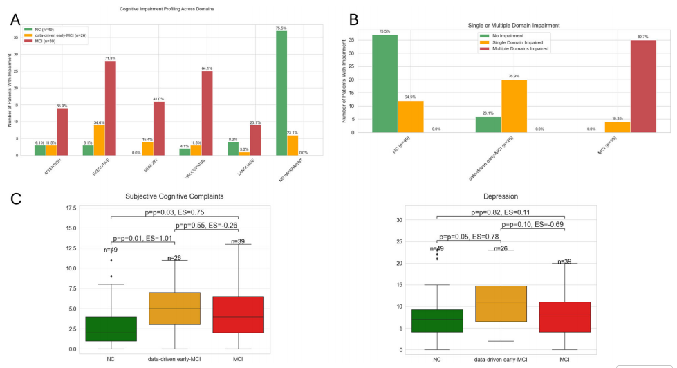
5

各群体的认知特征分析

如下图B所示,NC 组(n = 49)表现出较低程度的障碍,不存在遗忘型或多领域障碍,其中超过 75%的个体未出现任何障碍。在数据驱动的早期 MCI 组(n = 26)中,23%的个体未出现任何认知障碍,其余个体呈现单一领域障碍特征,其中非遗忘型障碍占主导,记忆障碍在个体中占 15.4%。最严重的障碍领域是执行功能(34.6%),其次是记忆(15.4%)、视空间能力(11.5%)和注意力(11.5%)。另一方面,MCI 组呈现出完全不同的认知障碍特征,所有个体至少在某一领域存在障碍,多领域障碍的患病率高于 90%。最严重的障碍领域是执行功能和视空间能力,分别影响超过 72%和 64%的个体。遗忘型障碍(记忆)影响了 41%的 MCI 个体。


数据驱动早期MCI组还展现了介于认知正常和典型MCI之间的临床特征与疾病进展风险,可能代表了认知衰退连续谱上的一个早期节点。这些结果表明,与正常对照组相比,数据驱动的早期轻度认知障碍组在注意力、记忆力和执行功能方面表现出更严重的认知障碍,可能是一种独特的临床类型。


各群体的认知特征分析。图片来源:npj Parkinson’s Disease






总结与讨论

这项研究开发并验证了一个基于机器学习的数据驱动模型,用于诊断帕金森病中的轻度认知障碍。该模型能达到与现有临床金标准相当的诊断效能,还揭示了一个被传统方法忽略的、具有特定认知损害模式(以额叶执行功能/注意力损害为主)和更高神经精神症状负担的患者亚组。这个“数据驱动早期MCI组”展现了介于认知正常和典型MCI之间的临床特征与疾病进展风险,可能代表了认知衰退连续谱上的一个早期节点。这一发现表明,机器学习模型可以补充临床评估,有助于检测轻度认知障碍,并补充对帕金森病患者的诊断特征描述。



声明:
1、凡本网注明“来源:小桔灯网”的所有作品,均为本网合法拥有版权或有权使用的作品,转载需联系授权。
2、凡本网注明“来源:XXX(非小桔灯网)”的作品,均转载自其它媒体,转载目的在于传递更多信息,并不代表本网赞同其观点和对其真实性负责。其版权归原作者所有,如有侵权请联系删除。
3、所有再转载者需自行获得原作者授权并注明来源。

最新评论

关闭

官方推荐 上一条 /3 下一条

客服中心 搜索 洽谈合作
返回顶部