立即注册找回密码

QQ登录

只需一步,快速开始

微信登录

微信扫一扫,快速登录

搜索

刘博谈准确度|举例说明如何计算精密度

2021-10-13 17:18| 编辑: 沙糖桔| 查看: 14137| 评论: 0|来源: 诊断科学 | 作者:认真的刘博

摘要: 这是刘博谈准确度第八篇,本篇举例说明如何计算精密度。7、举例说明如何计算精密度7.1、重复性(批内精密度)以丙氨酸氨基转移酶试剂盒产品其中一个批号试剂对低值样品进行测量为例,结果如表4.3.5所示。表5|批内精 ...



这是刘博谈准确度第八篇,本篇举例说明如何计算精密度。


7、举例说明如何计算精密度


7.1、重复性(批内精密度)

以丙氨酸氨基转移酶试剂盒产品其中一个批号试剂对低值样品进行测量为例,结果如表4.3.5所示。


表5|批内精密度实验原始数据记录表


表4.3.5中数据根据6.3.3标准进行分析显示无离群值。


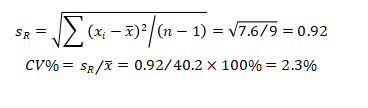
根据公式(1)求出均值,均值为40.2 U/L,根据公式(2)计算出批内估计值的标准差。

丙氨酸氨基转移酶批内精密度为2.3%。


7.2、批间差

以白蛋白试剂盒产品为例,取3个不同批号的试剂,在质控合格的前提下对同一份样品进行测量,结果如表6。


表6|白蛋白试剂盒产品批间精密度实验原始数据记录表(单位:g/L)


表6中数据根据6.3.3标准分析显示3个批号测量白蛋白结果均无离群值。



根据公式(3)计算极差:


该白蛋白试剂盒产品的批间精密度为4.2%。


7.3、重复性和实验室内精密度(单点精密度)实例分析

本实例为单点精密度评价的数据分析,考虑到实验中可能会测量多个浓度样品,下面仅以其中一个样品的数据为例进行分析,原始数据记录详见表7。


实验设计遵循经典的20×2×2设计:使用一个试剂批号;使用一个测量系统;测试20天;每天测试2批;每批测试2次。

表7|超氧化物歧化酶( SOD )精密度评价原始数据记录表 (单位:U/mL)


80个数据来源于20天的重复测试,每批检测样品均来自同一份分装后的样品,可排除样品前处理或操作者的影响。无丢失数据,是一个平衡数据集。


为了观测异常结果,将每天每批每次重复测量的结果作图,如图1所示。

图1|超氧化物歧化酶精密度评价。代表20天每天2批、每批2次的测量结果,其中方形的点代表第一批测试结果,圆形的点代表第二批测试结果


从图1可以看出,无明显异常值。数据根据6.3.3标准进行统计分析,显示无离群值。


数据通过公式(4)~公式(8) 研究结果采用双因素嵌套方差分析,各变异来源的均方和结果见表8。

表8|超氧化物歧化酶方差分析结果



以上3种变异来源用来计算重复性SR和实验室内SWL的变异,即


重复性SR的自由度为


实验室内SWL的自由度为


80个测试结果的均值,变异系数为


精密度评价研究结果可用表9简单概括:

表9|超氧化物歧化酶精密度研究结果(重复性和实验室内精密度)


双因素95%置信限可通过公式(16)进行计算,将相关的DF、从公式(9)~公式(15)计算出来的结果输入,α = 0.05时超氧化物歧化酶样品的精密度置信区间如表10所示。


表10|超氧化物歧化酶精密度置信区间(95%,α = 0.05)


将上表中数据代人公式(16),得到重复性精密度、实验室内精密度在置信区间的上下限,如下所示:

以上为标准差,转化为CV需除以测量均值229.5 U/mL,再乘以100%,则精密度区间分别为:重复性1.1%~1.7%;实验室内2.9%~4.7%。


7.4、设备间精密度实例分析

下文介绍的设备间精密度(或多点精密度)研究模型为3台设备(或3个实验室)、多个浓度水平的样品精密度评估模型检测人血清中碱性磷酸酶(ALP)催化活性浓度。


3台设备均使用相同的样品。进行6个浓度样品的检测实验,临床混合样品按浓度由低到高依次标记为P1、P2、P5,同时采用的质控样品为Q3、Q4、Q6,原始数据详见表11。

表11|ALP 精密度评价原始数据记录表(单位:U/L)


数据通过公式(17)~公式(20)采用嵌套方差分析,各变异来源的均方计算结果如表12。

表12|ALP 精密度研究6个样品方差分析结果


利用表12数据通过公式(21)~公式(23)计算各样品的Verror、Vday、Vsite等,结果如表13所示,其中的百分比表示各分量方差占总方差百分比。

表13|ALP 精密度研究6个样品双因素嵌套方差分析结果


表13的数据再经过公式(24)~公式(26)计算,可得出各设备(实验点)的重复性、实验室内精密度、设备间精密度等数据,详见表14。

表14|设备间(实验点)精密度评价结果


以设备1的重复性为例,不同样品浓度为x轴、对应的重复性为y轴作图,绘制ALP的精密度曲线,如图2所示。

图2|ALP 不同浓度样品对应的重复性曲线(设备1)


表14的数据再经过计算,可得出各个样品测定的重复性、实验室内精密度和设备间精密度的95%置信区间,详见表15。

表15|ALP 各样品95%置信区间


8、方差齐性及Satterthwaite公式的应用


EP05-A3中涉及的方差分析为嵌套方差分析(也有称为巢式方差分析),其有效自由度的计算公式来源于Satterthwaite公式,下文对其进行简要介绍。


在进行方差分析时,理论上要求两个相应总体的方差相等,即所谓方差齐(homogneity)。即使两总体方差相等,也可能由于抽样误差导至两个样本方差不同,此时可进行方差齐性检验。


在进行两个独立样本的t检验时,常可出现方差不齐现象。


如果方差不齐,就要按照方差不齐的统计学方法进行样本处理,又称为t’检验(亦称近似t检验)。


方差不齐的处理方法有多种,如Cochran & Cox法、Welch法、Satterthwaite法等,Cochran & Cox法是对临界值校正,Welch 法和Satterthwaite法是对自由度进行校正。


Satterthwaite 法是应用较多的方法,有文献将校正后的 t 由度又称为有效自由度。


EP05-A3和EP15-A3中主要利用Welch - Satterthwaite公式得到校正的自由用来决定精密度验证允许上限的F值。下文结合单点精密度部分公式(9)公式(15)内容介绍Welch - Satterthwaite公式的应用。


Welch - Satterthwaite原始公式为


根据公式(9)~公式(15)可推导出以下公式:


将公式(34)通分整理后得公式(35):


根据Welch - Satterthwaite公式建立的原理,可得到以下公式:


从而得到公式;


以上为20×2×2单点精密度实验模型有效自由度的推导过程,如果实验模型发生变化,可参考此推导过程进行有效自由度的统计计算。



声明:
1、凡本网注明“来源:小桔灯网”的所有作品,均为本网合法拥有版权或有权使用的作品,转载需联系授权。
2、凡本网注明“来源:XXX(非小桔灯网)”的作品,均转载自其它媒体,转载目的在于传递更多信息,并不代表本网赞同其观点和对其真实性负责。其版权归原作者所有,如有侵权请联系删除。
3、所有再转载者需自行获得原作者授权并注明来源。

最新评论

关闭

官方推荐 上一条 /3 下一条

客服中心 搜索 洽谈合作
返回顶部