立即注册找回密码

QQ登录

只需一步,快速开始

微信登录

微信扫一扫,快速登录

搜索
小桔灯网 门户 资讯中心 肿瘤诊疗 查看内容

乳腺癌丨真的需要化疗吗?看看乳腺癌21基因怎么说?

2019-5-20 10:30| 编辑: 面气灵| 查看: 3245| 评论: 0|来源: Y生物

摘要: 乳腺癌是女性发病率排名第一的常见恶性肿瘤,术后5年内是复发高危期,且术后1~3年内复发的风险最高。越来越多研究表明,不是所有患者都能从化疗中获益。乳腺癌21基因检测是美国临床肿瘤学会(ASCO)和美国国立综合癌 ...


乳腺癌是女性发病率排名第一的常见恶性肿瘤,术后5年内是复发高危期,且术后1~3年内复发的风险最高。越来越多研究表明,不是所有患者都能从化疗中获益。乳腺癌21基因检测是美国临床肿瘤学会(ASCO)和美国国立综合癌症网络(NCCN)联合推荐的用于乳腺癌预后与化疗的多基因表达检测评估与服务。在美国,乳腺癌21基因检测已经快速成为一个标准的治疗程序,超过7500个医生使用65000次以上。

检测内容

这项检测,对乳腺癌发生发展及预后紧密相关16个基因(如下图, 另外5个为内参基因:ACTB、GAPDH、RPLPO、GUS和TFRC)的mRNA的表达定量,来预测激素受体阳性(ER+)、淋巴结阴性(node-)、侵袭性乳腺癌患者十年复发风险(RS)以及辅助化疗获益,并建议患者是否需要进行辅助化疗。



增值组基因:Ki67、STK15、CCNB1、MYBL2、BIRC5;

雌激素组:ER、PGR、BCL2、SCUBE2;

侵袭组:MMP11、CTSL2;

HER2组:ERBB2、GRB7;

其他:GSTM1、CD68、BAG1;

内参:ACTB、GAPDH、RPLPO、GUS和TFRC。

临床数据

根据NSABP B-14和B-20两项研究证实:淋巴结-、ER+的乳腺癌患者能从内分泌治疗联合辅助化疗中获益。接受他莫昔芬单药治疗后,乳腺癌患者的10年复发风率仅约15%,若未经筛选,对所有患者进行辅助化疗,则超过85%的患者过度治疗。2005年美国FDA依据上述研究批准了Genomic Health公司Oncotype DX® Breast Cancer Assay乳腺癌21基因检测产品来帮助临床医师决策是否对符合条件的乳腺癌患者进行辅助化疗。

高RS患者(RS>31)可以从化疗中极大的获益;

中复发风险者(18≤RS<31)虽未显示出辅助化疗有明显获益,但无法肯定无临床获益;

低复发风险者(RS<18)的患者从化疗中的获益极微。


他莫昔芬组VS他莫昔芬+化疗组,复发风险评分与10年疾病复发风险的拟合曲线


不同评分患者接受辅助化疗后预后不同,低分组化疗预后更差


不同评分组接受化疗后的绝对有效率


检测缺陷

但是21基因检测的一大缺陷是,若患者检测的复发风险评分为18~31之间,患者接受化疗后获益并不显著,患者的复发风险并不确定,临床医生无法根据这一检测结果决定患者是否需要进行辅助化疗。 

新的研究成果

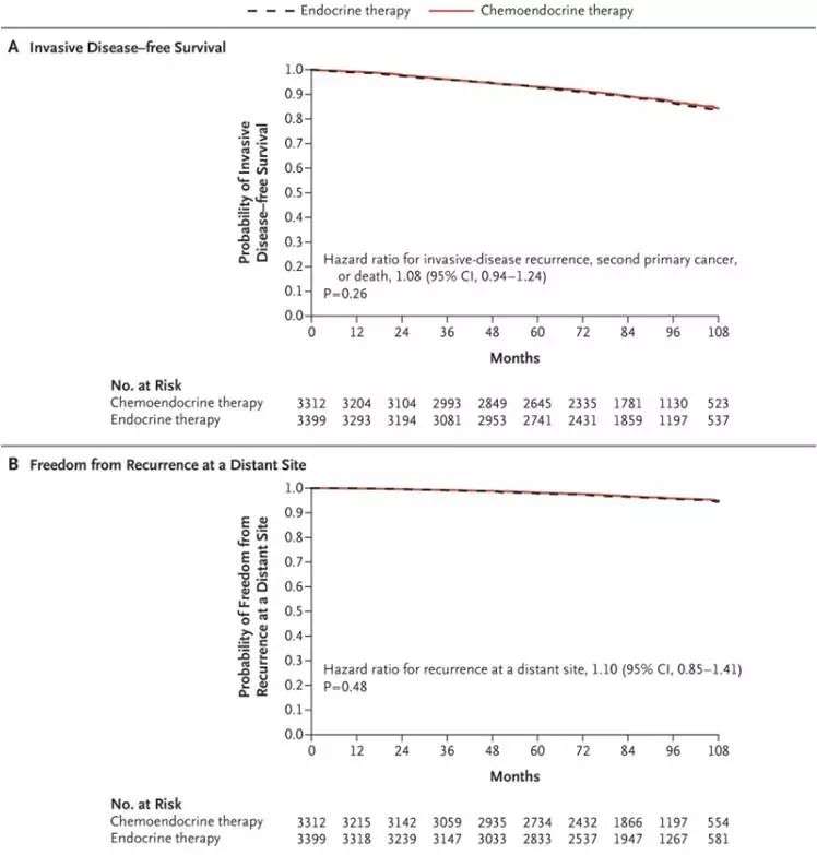
2018年,一项临床研究说明了18~31分的患者该如何抉择。该项研究对超过1万名ER+、淋巴结- 、HER2-的患者进行21基因复发风险评分;在9719名符合条件的入组患者中,6711例(69%)的中度复发评分为11-25,这些患者随机接受内分泌治疗或内分泌+化疗治疗。

结果发现:内分泌治疗组的复发风险与化疗+内分泌治疗组相比,并无显著差异。

且在9年的随访期间,两组的生存率(内分泌治疗组为83.3%,化学治疗组为84.3%),远处转移复发率(94.5%和95.0%),患者的总生存率(93.9%和93.8%)均相似。

基于该项试验,研究者认为复发评分11~25的患者接受不能从辅助化疗中获益。

而在以往的检测中,几乎85%的受检患者评分位于该区间,意味着超过85%的中等风险评分患者无需接受辅助化疗。


11~25分的患者内分泌治疗和内分泌+化疗治疗的无浸润性疾病生存率和远处转移复发率无显著差异。


基于这项研究,NCCN乳腺癌诊疗指南进行了修改,强烈建议乳腺导管、小叶、混合、化生性癌、pT1-3 pN0、肿瘤>0.5cm的患者进行21基因检测, 且RS评分高中低风险与治疗推荐分别变更为:

评分<26,不推荐接受化疗,建议内分泌治疗作为辅助治疗;

评分在26-31之间,建议结合其他临床治疗综合选择治辅助内分泌治疗或内分泌治疗+化疗;

评分≥31,建议进行化疗,即接受内分泌治疗联合化疗。      


总结

乳腺癌21基因检测的临床应用历经十几年,得到广泛临床应用,但是其评价标准随着研究深入而变化,目前还有研究针对绝经后ER+,淋巴结阳性的患者。只有更大量的研究数据,才能将乳腺癌患者进一步细分,真正实现个性化的诊疗。


参考资料:

1 Mamounas E P, Tang G, Fisher B, et al. Association between the 21-gene recurrence score assay and risk of locoregional recurrence in node-negative, estrogen receptor–positive breast cancer: results from NSABP B-14 and NSABP B-20[J]. Journal of Clinical Oncology, 2010, 28(10): 1677.
2 Sotiriou C, Pusztai L. Gene-expression signatures in breast cancer[J]. New England Journal of Medicine, 2009, 360(8): 790-800.
3 Paik S, Tang G, Shak S, et al. Gene expression and benefit of chemotherapy in women with node-negative, estrogen receptor-positive breast cancer[J]. J Clin Oncol, 2006, 24(23): 3726-3734.
4 Sparano J A, Gray R J, Makower D F, et al. Prospective validation of a 21-gene expression assay in breast cancer[J]. New England Journal of Medicine, 2015, 373(21): 2005-2014.
5 Sparano J A, Gray R J, Makower D F, et al. Adjuvant chemotherapy guided by a 21-gene expression assay in breast cancer[J]. New England Journal of Medicine, 2018.
6 Sparano J A, Gray R J, Wood W C, et al. TAILORx: Phase III trial of chemoendocrine therapy versus endocrine therapy alone in hormone receptor-positive, HER2-negative, node-negative breast cancer and an intermediate prognosis 21-gene recurrence score[J]. 2018.
7 NCCN Guideline V3. 2018 Breast Cancer

声明:
1、凡本网注明“来源:小桔灯网”的所有作品,均为本网合法拥有版权或有权使用的作品,转载需联系授权。
2、凡本网注明“来源:XXX(非小桔灯网)”的作品,均转载自其它媒体,转载目的在于传递更多信息,并不代表本网赞同其观点和对其真实性负责。其版权归原作者所有,如有侵权请联系删除。
3、所有再转载者需自行获得原作者授权并注明来源。

最新评论

关闭

官方推荐 上一条 /3 下一条

客服中心 搜索 官方QQ群 洽谈合作
返回顶部