金桔
金币
威望
贡献
回帖0
精华
在线时间 小时
|
浅看了一下,已经有很多人回答了这些物质是什么,但似乎没有人详细地说明这些物质该如何合成。毕竟实践才能出真知,那么在下文中,我将向你介绍这几种物质的全合成方法,以及吃了它们之后会发生什么。
观前提示:我强烈不建议任何人为科学而献身,所以把这篇文章当作一个纯粹的科普即可,千万不要模仿!
最苦:苯甲地那铵糖精盐
出于延续该项目的考量,我刻意调换了题设的顺序,将“最苦”提到了最前面(往下看就知道为什么了)。你或许已经听说,世界上已知最苦的物质是苯甲地那铵( )。这个名称广为流传,但它实际上只是个阳离子,而阴离子也会影响苦味,所以这一说法并不准确。完整地说,世界上已知最苦的物质是苯甲地那铵糖精盐。

(补充说明:由于成本等问题,实际更加常见的似乎是苯甲地那铵苯甲酸盐,但它确实没有糖精盐苦)
在水中,该物质的浓度只需达到 (即一亿分之一)即可让人觉察。对比下来,它比奎宁苦 倍左右,甚至比黄连素还苦约 倍。
各种苯甲地那铵盐最早在 年由苏格兰化学家 合成,很快,他的公司就以“ ”的商标将其注册。之后的岁月里,它们一直在厌恶剂的岗位上兢兢业业,在部分指甲油、汽车防冻液、油漆、老鼠药、锂电池,以及著名的 游戏卡带上都能见到它们的身影,用以防止人类误食。虽然我们在生活中几乎感受不到它们的存在,但它们确实在无形中扼杀了许多悲剧。
不过,题主或许马上就要对这类物质有刻骨铭心的认识了。

(上动图:外网某人尝试舔了一口 卡带后的反应)
全合成详解
实话实说,苯甲地那铵糖精盐的合成工艺算是非常简单的,从基础的工业原料开始不过七步。我们首先考虑阳离子部分,两种原料分别是2,6-二甲基苯胺( )和氯乙酰氯( );在醋酸钠( )的作用下,二者之间发生缩合反应,脱去一个 分子:

接着,在甲苯(溶剂)中,该物质与二乙胺( )在加热条件下反应,氯原子被取代,从而得到一种著名的麻醉药——利多卡因( ):

没错,苯甲地那铵就是利多卡因的衍生物。事实上, 最早就是冲着利多卡因去的,结果误打误撞地合成出了苯甲地那铵盐,真可谓无心插柳。在下一步中,我们将重复他的“误打误撞”:直接混合利多卡因和氯化苄( ),并在 下长时间反应,最终可以以约 的产率得到盐酸苯甲地那铵:

当然,针对这一反应时间太长的缺陷,如今已有诸多改进,在此按下不表。我们的合成仍未结束,现在是时候该考虑阴离子了。糖精钠最早于 年被 制备,他当时在研究煤焦油,结果在偶然间合成了这种物质。如今,作为一种广泛使用的甜味剂,糖精的合成工艺已被改进了无数次,但我们在此还是使用最原始的“甲苯法”来合成它。
首先,将甲苯( )于氯磺酸( )在低温下混合,反应几个小时后分离产品,即可得到邻甲苯磺酰氯( )(副产对甲苯磺酰氯):

接着,在氨水的作用下,邻甲苯磺酰氯被转化为邻甲苯磺酰胺( )。反应在 左右进行,大约两小时即可完成:

然后,在水中碱性条件下,直接用高锰酸钾( )氧化邻甲苯磺酰胺,产物经过分离、结晶、干燥后即可得到糖精钠:

最后一步,便是要将阴阳离子结合在一起。说来也非常奇妙,糖精作为最受欢迎的甜味剂之一,与苯甲地那铵结合后居然就成为了世界上最苦的物质。将两者混合后溶于乙醇,加热至 并维持十分钟,随后用冰水骤冷,可以见到副产物氯化钠析出;过滤后将滤液蒸干,即可得到苯甲地那铵糖精盐:

现在,我们终于可以品尝这一物质了。首先,由小鼠实验得出该物质的 约为 ,因此只要你的“勺子”不是太大,应该是不用担心会被毒死的。但是,作为已知最苦的物质,一次性吃下这么多很可能会导致你的味觉彻底报废,自此以后,你能感受到的只有无尽的苦味。很不幸的是,这将影响你接下来的挑战,因此我们必须假设你仍然可以感受到其他的味道。
觉得已经很刺激了?不,这只是开胃小菜罢了。
最甜:Lugduname
关于世界上最甜的物质,我看到了许多不同的答案。有人提名了一种名为卡坦精( )的甜味蛋白,并宣称他比蔗糖甜六十万倍,但这其实是谣传。按照摩尔量计,它的甜度约为蔗糖的十万倍,确实是非常甜,但还远未达到“最甜”的要求。

(上图:卡坦精的结构,该蛋白质由两条肽链构成)
卡坦精天然存在于一种名为西非竹芋( ,属姜目竹芋科)的植物中,在部分国家,它已经被批准用于甜味剂,但由于一些原因,卡坦精从未得到推广。据说其甜味作用非常缓慢,持续时间极长,并留下持久的回味。
在广泛使用的甜味剂中,最甜的应是爱德万甜( ),甜度按质量计约为蔗糖的两万倍(按摩尔量计会更高一点)。它最早由日本的 公司于 年开发,在随后的十几年间逐渐获得了普遍的安全性认可,并被推广为新一代甜味剂。

(上图:爱德万甜的化学结构)
但是,人们早就已经合成了许多比上面二位还要甜得多的物质,只不过因为各种原因无法应用。(我能查到的)已知最甜的物质是上世纪末法国里昂大学研发的 ,其甜度可以达到蔗糖的三十万倍:

虽然甜度惊人,但只要看一眼这一个氰基一个胍基的结构,就知道在毒性方面有些不妙。由于实际应用没戏, 的发明者到后来甚至连专利费都付不起了,因此我们今天一般将这种物质视为人类追求超级甜味剂道路上的一次“失败的尝试”。
那在下文中,就让我们来重复这次“失败的尝试”。
全合成详解
我们的合成从一种香料——邻香兰素( )开始,这种浅黄色的物质具有浓郁的奶香味,在许多植物体内都能找到。在氮气气氛下,使用浓氢溴酸( )处理邻香兰素,可以使分子中的醚键断裂,从而得到去甲邻香兰素( ):

去甲邻香兰素是一种黄色的物质,相比邻香兰素,它的芳香更加清新,也更加令人愉悦。但是,只要温度升高一点它就容易被空气氧化,所以氮气气氛是必要的。
下一步,在碳酸钾( )提供的碱性条件下,用二溴甲烷( )处理去甲邻香兰素。反应在 中进行,可以使用氧化铜( )作为催化剂提升速率和产率,这也是构建二氧五环结构的常用方法:

随后,在乙醇与水的混合溶液中,该物质的醛羰基在碱性条件下与盐酸羟胺( )反应,从而得到一种肟:

想必各位已经猜到这个肟基是用来干什么的了。下一步,在 的催化下,直接用 对该物质进行加成,将肟转化为胺。反应体系中还加有一定量的浓盐酸,从而得到胺的盐酸盐:

将上产物收集备用,我们来处理另一种原料。这种物质唤作对氨基苯腈( ),是一种白色的粉末,具有类似于苯的气味。在剧烈搅拌的氯仿( )与水的混合物中,用硫光气( )和碱共同处理对氨基苯腈,将分子中的 转化为 。这是得到异硫氰酸酯的常用手段:

接着,将该物质与甘氨酸叔丁酯( )在乙腈(二氯甲烷也可)中直接反应,从而将异硫氰酸酯转化为硫脲的衍生物:

随后,便是这整个反应序列中最重要的一步。 分子的核心是一个胍基,但三个氮原子均被其他基团取代,这种结构的构建在化学界一度被认为是道难题。不过,如今的我们已经有了诸多方法,其中一种便是 胍合成反应。在氯化汞( )和三乙胺( )的作用下,硫脲与前几步制得的那种胺发生缩合反应,最终得到 的叔丁基酯:

反应利用了 离子对硫高度的亲和性,先将硫脲转化为二亚胺( 结构),随后再让氨基进攻之,完成缩合。当然,现在对该反应已经有了诸多改进,比如用 试剂代替剧毒的氯化汞,可以增加反应的安全性。具体机理如下:

最后一步,便是将分子上端的那个酯水解掉。在二噁烷溶剂中( )中,使用 即可完成这一反应:

这样一来,世界上最甜的物质—— 的制备已经大功告成。据油管一位亲自尝过的人描述(来源见参考文献中),刚入口时他感受到了一股奇怪的酸味,可能是因为有少量 未被分离;但紧接着,味道越来越甜,久久不散,甚至在几个小时后,他仍能感受到突然有甜味在他的舌头上涌现;他尝试了稍大的剂量,随即觉得五官都被深深地刺激,他甚至感到这种甜味并不来自于口腔,而是来自于耳朵里;他的胃酸似乎也开始过度分泌,让人有种想呕出来的感觉。最后,他在一大杯水中加了仅仅两滴 ,却仍然在喝的时候感受到了强烈的甜味。
那么,有了前车之鉴,题主是否就能放心地品尝这种物质了呢?未必。上面那位朋友仅仅制出了不到 ,这显然不够你一勺的。遗憾的是,我并没有找到 的毒性数据,但有研究表明它对于猪等动物是低毒的,所以我认为,题主大概率不会在这一关出事。至于吃了之后究竟是什么感觉,大概就是把上面的描述放大几十倍吧。
最咸:食盐
非常遗憾,我们家中常备的食盐(氯化钠, )就是世界上最咸的物质(严格来说,食盐中还会有一些添加剂,所以你最好去买一瓶试剂级 的氯化钠)。所以,这一环节可能是你整个挑战过程中最轻松的。
食盐的致死量为 ,按照你的体重换算一下,就知道吃一勺盐是死不掉的。虽然你肯定会很难受,但比起前几个显然是小巫见大巫了。
最辣:树脂毒素
虽然一提起辣,人们就会想到辣椒,但为人熟知的辣椒素( )并不是世上最辣的物质。在摩洛哥阿特拉斯山脉的山坡上,生长着一种被称为树脂大戟( ,又名白角麒麟)的植物。它体内有一种乳白色的汁液,其中就含有已知最辣的物质——树脂毒素( ,缩写 ,分子式 )。

(上图: ;它的部分同属近亲体内也被发现有树脂毒素)

(上图:树脂毒素的结构)
身为大戟科( )植物(而且是正牌的大戟属),树脂大戟延续了它们家族“毒王”的传统,而它体内的树脂毒素自然也不是什么凡物。作为已知的最有效的 (辣椒素受体)激动剂,树脂毒素的辣度可以达到一百六十亿 ,约为普通辣椒(三万 )的五百万倍,纯辣椒素的五百倍,可以说是极其离谱了。
作为典型的瑞香烷类二萜,树脂毒素的分子结构中有三个明显稠合在一起的环,尤其是最中间的那个七元环,它的构建真是让各路化学家伤透了脑筋。但是,因为此类化合物在药物领域有巨大的价值,所以还是有很多人不断地尝试优化其合成路线。 年, 等人将树脂毒素的全合成缩减为 步,且平均每步产率在 以上;在下文中,我们就将详细介绍这条全合成路线。
全合成详解
根据结构特征,课题组首先把目标分子切成了六份,分别对应六个合成砌块,如下图:

由于每个砌块的结构都比较简单,使用常规的方法即可大量合成,此处也便不再详细介绍。全合成从左上角的 号砌块开始。在低温的二氯甲烷中,用二异丁基铝烷( )还原该物质的酯基,将其转化为醛:

这是 最基础也最经典的反应之一,具有较高的选择性,尤其对于 不饱和的酯,反应一般不会影响双键。若温度升高, 也能继续将醛还原为醇。
下一步,在强碱 (双三甲基硅基胺基锂, )的作用下,该物质与 号砌块发生著名的羟醛缩合反应。由于低温,羟基得以保留,但被强碱夺去质子;随后直接加入 (三甲基一氯硅烷, )和 ,将羟基保护;最后再用 处理,可以将外消旋的产物转化为我们需要的构型:


接着,便是喜闻乐见的格式反应。在 的 中,四号砌块对 不饱和的醛羰基进行 加成,随即用 和 还原羟基。此处,课题组首先尝试直接使用 ,但其酸性太强,会直接破坏产物的结构;随后便想到先将 与 混合,再加入反应体系的方法,获得成功。此时,实际起质子化作用的是 离子。
接着,课题组没有分离产物,而是直接向体系中加入 催化剂并加热,完成七元环的关环:

关环偶联也是 催化剂的经典应用。首先, 插入碳卤键,随后夺取附近位置恰到好处的烯丙基 ,最后发生还原消除反应,七元环也随之关环。如此两小步给出 的总产率,可以令人满意:

第四步,在碱性试剂咪唑( )的作用下,用 保护刚刚生成的羟基。随后不用分离,直接用酸性的硅胶柱长时间处理,即可把另一个硅基保护基脱去,为下一步反应做准备。此处由于显著的空间位阻差异,可以使得其中一个硅基保护基首先离去,而另一个不受影响:

接下来,在戴斯-马丁试剂( ,最有效的羟基氧化剂之一,含有 )的作用下,刚刚脱去保护的羟基被氧化为酮羰基;随后再加入 (间氯过氧苯甲酸)对双键进行环氧化( 氧化),也是经典反应:

此处涉及到 的选择性。由于供电子能力的区别,烯烃被 环氧化的速率随着烷基取代基变多而变高,而在上反应中,由于只有一个双键周围有三个烷基取代基,所以控制反应条件即可只对其进行环氧化,而保留其他双键。由于旁边有一个巨大的 基团,所以反应的立体选择性也极佳。具体的机理如下:

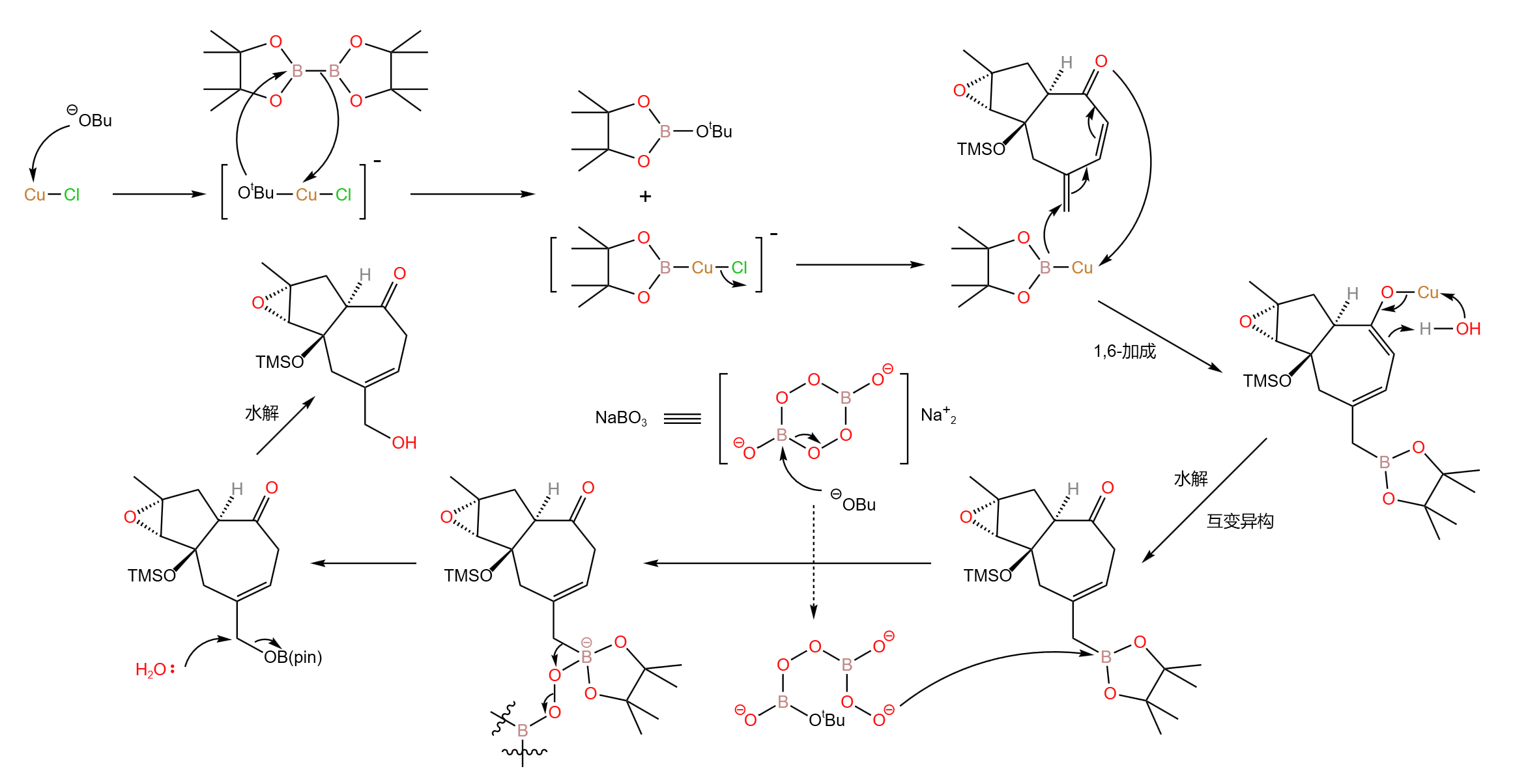
现在,让我们再观察一下得到的产物。注意到,该物质右侧形成了一个大的共轭体系,由一个羰基和两个双键构成。现在,课题组想要对此体系进行 加成,从而同时完成末端羟基的引入和双键的易位。但事实证明,这一反应相当棘手,他们尝试了很多种方法,但产率都很低下, 加成的副产物太多的问题始终无法解决。
最后,他们找到了 等人在 年发现的反应。在氯化亚铜( )催化下,使用连二硼酸频那醇酯( )与 处理该物质,最后再用过硼酸钠( )后处理,可以以 的产率得到期望产物

这一反应的机理似乎直到今天也没搞明白(也可能是我没找到,若有知道的大神还请评论告知)。我个人的猜测是, 在 的转接下会与 形成类似于 的复合物,该物种进行加成时由于两边位阻都极大,所以可以高选择性地完成 加成,随后经水解与氧化得到最终产物:

下一步,在 (一种大体积有机碱)的催化下,分子中的环氧结构被打开,形成一个羟基和一个双键;这也是环氧化合物常见的反应:

接着,在咪唑的催化下,用 (二甲基叔丁基氯硅烷, )可以选择性地保护其中一个位阻小的羟基。由于 基团的位阻比 更为巨大,故可以得到令人满意的产率:

而经过了这么多步的铺垫,终于又有一个砌块要登场了。在 的 中, 的催化下,该物质与 号砌块发生羟醛缩合反应,随后用 后处理得到产物:

此处有两点值得关注,一是反应物的酮羰基其实有两个 碳,也就有两种 ,但显然其中一个更为活泼(因为它同时也是附近双键的 ),且位阻更小,所以反应主要发生在此处;而是反应有一定的立体选择性,这种选择性其实是由体系内的 (来自催化剂 )提供的,具体如下图所示。反应在低温条件进行,否则生成的羟基会被马上消去:

接下来的反应,则是整个全合成序列中最关键的一步。这是一个分子内的自由基关环偶联反应,使用的试剂为二碘化钐( )。上世纪末,化学家 首次系统性地研究了这一物质在有机合成中的应用,因此 也被称为 试剂;随后, 进一步研究了该试剂介导的分子内关环,因此这类反应经常被统称为 偶联反应。

由于 不稳定,有强烈的给出一个电子并转变为稳定的 的趋向,而这个给出的电子,将成为自由基反应的开端。在课题组的设计下, 首先被上一步反应生成的羟基以及附近的酮羰基配位,随后在 号碳上生成自由基;随后,附近 号位上的双键均裂,六元环关环,自由基被转移至 号碳上(左侧的碘原子正是为了这一步传递而设计);接着, 号位上的氢被褫夺,自由基转移至此处,并与 号位上的双键共轭;最后,位阻最小的 号位获得一个氢,双键易位,反应中止:

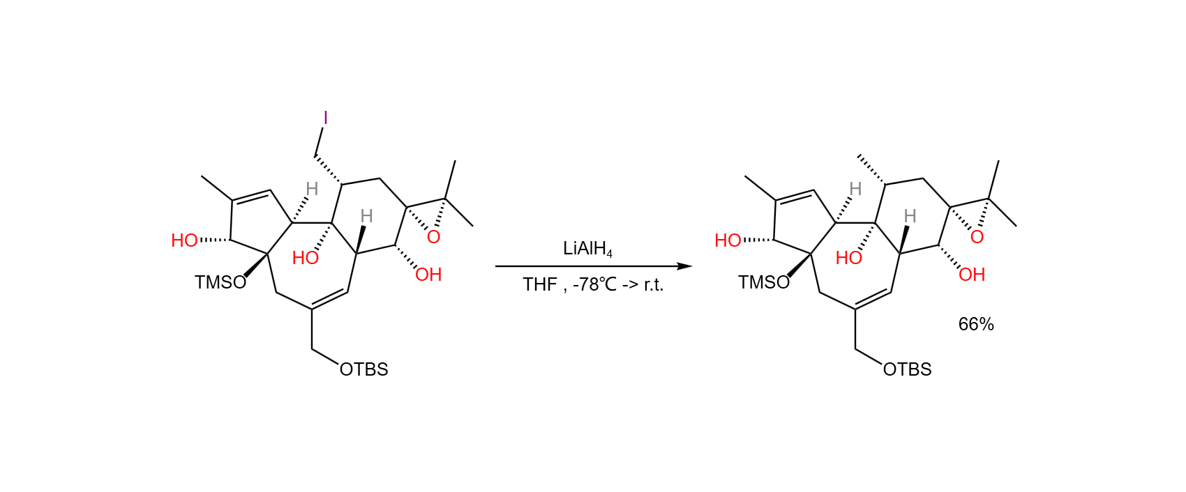
随后,由于 号位上的碘原子已经完成了它的使命,便是时候让其功成身退了。课题组直接使用强还原剂氢化铝锂( )拔除了它:

下一步,我们终于要将 号砌块连接上去了。树脂毒素的此部分结构非常有意思,同一个碳上连接了三个氧原子,这些氧原子的另一端又分别与六元环上的三个碳相连,形成笼状结构。于是,在樟脑磺酸( )的作用下, 号砌块的三个 基团分别与 号碳原子上的羟基发生醚交换反应( 号碳上的羟基由酸性条件下环氧化合物的开环得到),从而完成这一结构的构建;由于附近的 基团提供了巨大的位阻,所以 号碳原子上的羟基得以保留:

(勘误:此后的几张图中 号碳上的手性氢仍然存在,但忘记画了,特此纠正)

接着,再次使用 对 号碳原子上的羟基进行氧化,将其变为酮羰基:

然后,在 (四丁基氟化铵)的作用下,该物质的两个硅基保护基团( 与 )被悉数除去,游离出羟基,为完工做准备:

最后一步,我们需要将 号砌块接在该物质的 号位。该砌块本身是一种生物化学领域的重要试剂,被称为高香草酸( );而 号位刚好有一个羟基。最容易想到的方法是朴素的酯化反应,但实际尝试发现产率很低,主要是因为该分子结构十分脆弱,易被破坏。课题组随即尝试使用著名的 反应(光延反应),在 (偶氮二甲酸二叔丁酯)和三苯基膦( )的作用下进行该反应,最终获得了 的产率,进而大功告成:

反应是一种重要的双分子亲核取代反应(且是 反应),其机理如下图所示。此处也不必担心分子内另一个羟基对反应的干扰,因为它对应的醇是一个三级醇,由于位阻巨大,反应难以在其上发生:

现在,树脂毒素已经被我们合成了出来,是时候拿出你的勺子开始享用了。从大鼠实验来看,树脂毒素的 约为 ,不算太强,但肯定不容小觑。因此,我还是建议你拿个小点的勺子,争取将内容物的量控制在 以下,搭配上现代医学的辅助,你活过这轮的概率应该还是比较大的。这非常重要,因为我们的故事还没有结束,题设的要求也尚未完成。
但是,我们已经证实树脂毒素在微克级别即可引起剧烈的化学灼伤,所以即使你能活下来,或许也会生不如死。当然,这也不一定,因为微量的树脂毒素即可阻断关于疼痛的神经信号,而在大量摄入的情况下,痛觉网络可能会直接崩溃,导致你再也无法感受到疼痛(或许是件好事?)。
至此,在我们的菜单上,你也只剩最后一种物质没有品尝了。
最酸——氟锑酸
严格来说,味觉概念中的“酸味”和化学概念中的“酸性”是不同的,两者甚至不是严格的正相关。比如大家都很熟悉的醋酸( ),它比柠檬酸( )的酸性还要弱一些,但却呈现出胜于后者的酸味。但我们都知道,硫酸( )无论酸性还是酸味都肯定远超醋酸,所以二者还是具有强关联性。
由于几乎没有人敢去吃那些超强酸,更别提给它们的“酸味”排序了,所以我们也只好请出化学上“酸性”最强的几位,给题主过过嘴瘾。
已知酸性最强的单体酸是碳硼烷酸( ),或者更准确一些,十一氯碳硼烷酸,其结构如下:

我曾经在这篇文章中提到过这种酸的制备方法,由于过于复杂,所以今天就不再写一遍了。该物质在 年被制得,由于熔点高,其实际酸性很难测定,但其 按最保守的估计低于 ,即纯硫酸的一百万倍。据说如果把所有 原子换成 原子,还可以得到酸性更加强的十一氟碳硼烷酸( )。虽然还是测不出来,但从它在化学反应中的表现看,其酸性完全不输给公认的“世界最强酸”。
在酸性被准确测定的酸中,最强的那位便是耳熟能详的氟锑酸( )。它是氟化氢( )与五氟化锑( )混合后的产物, 达到 ,即纯硫酸的一亿亿倍。

(上图中: 实际上要结合一个或多个 ,形成 等离子,此处也不细究)
现在看看你的周围,我敢打赌你身边的所有物质几乎无一例外,都能与氟锑酸发生反应,当然还包括你自己。为了盛放这种至尊贵物,我们需要聚四氟乙烯材质的容器,而你用于品尝的勺子自然也得用这样的材质。那么,尝一勺这玩意会怎么样呢?
虽然找不到氟锑酸的毒性数据,但大家应该都相信,其毒性应当高于氟化氢,后者致死量约 (大鼠数据,直接食用;人类直接食用的数据没找到,只有吸入的数据)。所以,如果你真的喝了一勺,那大概是没什么活路了......
刚好,也为我们的故事画上了一个句号。
参考文献
视频类
:Making The Sweetest Compound Known (Lugduname) https://www.youtube.com/watch?v=YdGalCuJ96Q
论文类
:Chen J, Pattarawarapan M, Zhang A J, et al. Solution-and solid-phase syntheses of substituted guanidinocarboxylic acids[J]. Journal of Combinatorial Chemistry, 2000, 2(3): 276-281.
:Stachowiak W, Wysocki M, Niemczak M. “Bitter” Results: Toward Sustainable Synthesis of the Most Bitter Substances, Denatonium Saccharinate and Denatonium Benzoate, Starting from a Popular Anesthetic, Lidocaine[J]. Journal of Chemical Education, 2022, 99(4): 1604-1611.
:Vasilev V H, Spessert L, Yu K, et al. Total synthesis of resiniferatoxin[J]. Journal of the American Chemical Society, 2022, 144(36): 16332-16337.
:Chea H S, Sim H S, Yun J S. Ligandless Copper-Catalyzed β-Boration of α, β-Unsaturated Compounds in Aqueous Solution[J]. Bulletin of the Korean Chemical Society, 2010, 31(3): 551-552.
:Kim K S, Qian L. Improved method for the preparation of guanidines[J]. Tetrahedron letters, 1993, 34(48): 7677-7680.
:Levallet C, Lerpiniere J, Ko S Y. The HgCl2-promoted guanylation reaction: The scope and limitations[J]. Tetrahedron, 1997, 53(14): 5291-5304.
<hr/>写在最后:如果你发现本文中有任何错误或疏漏,或者是有任何疑问,请在评论中写出。
写在最后的最后:千万不要模仿!千万不要亲身实践! |
|